This page is not the official website. Generated by AI, does not constitute any advice. If needed, please click here to visit the corresponding official website.

Precision Special Alloys for Demanding Industries

Manufacturer of high-resistance heating wires, nickel alloy welding wires, thermocouple elements, and precision alloys since 1986. ISO9001 certified with 2000+ tons annual output.

About Bosun Alloy

Founded in 1986, Bosun Alloy Factory has evolved into a leading Chinese manufacturer of special nickel alloy wires, including high-resistance heating wires, nickel and nickel alloy welding wires, thermocouple wires, and precision alloys.

With over 12,000 m² of manufacturing space and more than 150 employees—including 12 dedicated technicians—our operations are fully compliant with ISO9001 quality standards. Our annual production capacity reaches approximately 2000 tons, with over 60% of our products exported to Europe, Asia, and the Americas.

1986
Founded
2000+
Tons/Year Output
60%
Export Ratio
12,000m²
Factory Area
Bosun Alloy Manufacturing Facility

Our Products

High-performance special alloys engineered for extreme environments, precision applications, and industrial reliability.

Nichrome Resistance Wire

Nichrome Resistance Wire

High-temperature Ni-Cr alloy wire ideal for heating elements in industrial and consumer appliances.

Cr20Ni80
FeCrAl Resistance Wire

FeCrAl High Resistance Wire

Excellent oxidation resistance at high temperatures. Used in furnaces and radiant heaters.

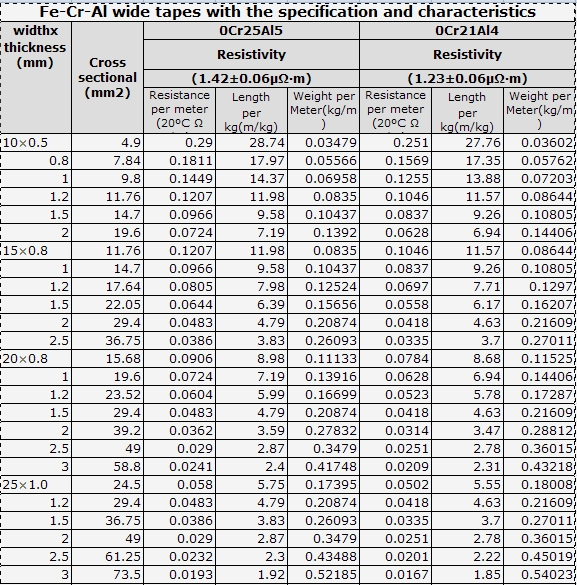
0Cr25Al5
NiCu Alloy Welding Wire

NiCu Alloy Welding Wire

Corrosion-resistant Monel-type wire for marine and chemical processing applications.

Monel 400
Nickel Welding Wire

Nickel Welding Wire

High-purity nickel wire for welding superalloys and dissimilar metals in aerospace and energy sectors.

Ni Welding Wire
Product Image

Fe-Cr-Al Resistance Ribbon

Flat strip form of FeCrAl alloy for compact heating elements and high-wattage applications.

Fe-Cr-Al
Product Image

CuNi Low Resistance Wire

Used in precision resistors, shunts, and current sensing applications requiring stable resistivity.

CuNi44
Product Image

Thermocouple Wire

Type K, N, E, J, T thermocouple extension and sensing wires with high accuracy and repeatability.

Type K, N, E, J, T
Product Image

Incoloy & Inconel Alloys

High-performance Ni-Fe-Cr alloys for extreme corrosion and high-temperature environments.

Incoloy 800, Inconel 600
Product Image

Precision Alloys

Specialized alloys with controlled thermal expansion and magnetic properties for sensitive instruments.

INVAR, 6J40
Product Image

Heating Elements

Custom-engineered heating solutions using Ni-Cr and Fe-Cr-Al alloys for industrial processes.

Custom Designs

Our Capabilities

High Resistance Wires

Ni-Cr and Fe-Cr-Al alloys with stable resistivity up to 1400°C.

ISO9001 Certified

Full quality control system from raw material to final shipment.

Global Export

Products shipped to Europe, North America, and Asia with reliable logistics.

Technical Support

Expert guidance on alloy selection, application engineering, and troubleshooting.

38+
Years in Business
2000+
Tons Annual Output
60%
Export Ratio
12,000m²
Factory Area

Frequently Asked Questions

What are the main applications of your resistance wires?

Our Ni-Cr and Fe-Cr-Al wires are used in electric heating elements for industrial furnaces, household appliances, medical devices, and aerospace systems requiring high-temperature stability.

Do you offer custom alloy compositions?

Yes, we can produce custom alloys based on customer specifications, including tailored resistivity, thermal expansion, and corrosion resistance properties.

What packaging options do you provide?

We offer wire in coil, spool, and cut-length formats, with custom packaging to meet shipping and handling requirements.

Can you supply small quantities for testing?

Yes, we support small quantity orders for R&D, prototyping, and testing purposes.

Are your products ISO certified?

Yes, our entire production and management system operates under ISO9001 quality control standards.

Get in Touch

For inquiries, technical support, or custom orders, contact us directly or visit our official website.

Factory Address

BOSUN ALLOY FACTORY

No.42 Lvdong Road, Lvcheng Town, Danyang City, Jiangsu, China

📞 Tel: +86-15052950125

📠 Fax: 4008266163-27866

📧 Email: bosun_alloy@163.com

💬 Skype: bosun_alloy

Dalian Office

SINO ERLI INDUSTRIAL AND TRADING CO., LTD.

Area A2 Quanshui, Ganjingzi District, Dalian 116031, China

📞 Tel: +86-411 87331157 / +86-15052950125

📠 Fax: +86 411 87331157

📧 Email: bosun_alloy@163.com; info@erliwires.com

Visit Official Website

Notice for Buyers: If you are a buyer, the above information is generated by AI collection and does not constitute any advice. If necessary, please visit the corresponding official website.

For Domain Owners: If you are the domain owner and do not want to be included by fobcompany.info, please contact support@fobcompany.info via your corporate email to cancel. We will cancel your inclusion within 3 business days.

如果您是域名所有者 不想被fobcompany.info收录 请用企业邮箱联系support@fobcompany.info 取消收录 我们将在3个工作日取消您的收录

Service Request: If you are other domain and want to be included, please contact support@fobcompany.info

如果您是其他域名合作 也请联系support@fobcompany.info